序列模型学习笔记

摘要:RNN, GRU, LSTM

1 RNN

1.1 前向传播

对于序列数据,使用标准神经网络存在以下问题:

  • 对于不同的示例,输入和输出可能有不同的长度,因此输入层和输出层的神经元数量无法固定。
  • 从输入文本的不同位置学到的同一特征无法共享。
  • 模型中的参数太多,计算量太大。

为了解决这些问题,引入循环神经网络(Recurrent Neural Network,RNN)。一种循环神经网络的结构如下图所示:

RNN的网络结构和神经网络一样,里面有很多神经元,较神经网络而言,每层都有两个输入,一个为上一层的输出,一个为新的输入。并且有2个输出。

一个时间序列就是一层神经网络。一个rnn处理1000个时间序列的数据集,这就是一个1000层的神经网络。

rnn0

RNN

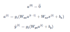
零时刻需要构造一个激活值a(0),最常用的是零向量,也可以随机初始化。

rnn (1).png)

当元素 x⟨t⟩输入对应时间步(Time Step)的隐藏层的同时,该隐藏层也会接收来自上一时间步的隐藏层的激活值 a⟨t−1⟩,其中 a⟨0⟩ 一般直接初始化为零向量。一个时间步输出一个对应的预测结果 y^⟨t⟩。

循环神经网络从左向右扫描数据,同时每个时间步的参数也是共享的,输入、激活、输出的参数对应为 Wax 、Waa、Wya。

下图是一个 RNN 神经元的结构:

rnn_step_forward

前向传播过程的公式如下:

前向公式

激活函数 g1通常选择 tanh,有时也用 ReLU;g2可选 sigmoid 或 softmax,取决于需要的输出类型。

为了进一步简化公式以方便运算,可以将 Waa、Wax水平并列为一个矩阵 Wa,同时 a⟨t−1⟩和 x⟨t⟩ 上下堆叠成一个矩阵。则有:(分块矩阵的写法,注意对应顺序。下图中 Wa 的写反了)

分块

前向传播代码

输入:xt 其中(n_x, m, T_x) n_x 为特征,m为样本数,T_x为时间步数

返回值:a_next, yt_pred, cache

中间值:因为反向传播需要,所以存储了 a_next, a_prev, xt, parameters

因为每个时间步共享参数,所以参数不变

1
2
3
4
5
6
7
8
9
10
11
12
13
14
15
16
17
18
19
20
21
22
23
24
25
26
27
28
29
30
31
32
33
34
35
# 单时间步
def rnn_cell_forward(xt, a_prev, parameters):
"""
Implements a single forward step of the RNN-cell as described in Figure (2)

Arguments:
xt -- your input data at timestep "t", numpy array of shape (n_x, m).
a_prev -- Hidden state at timestep "t-1", numpy array of shape (n_a, m)
parameters -- python dictionary containing:
Wax -- Weight matrix multiplying the input, numpy array of shape (n_a, n_x)
Waa -- Weight matrix multiplying the hidden state, numpy array of shape (n_a, n_a)
Wya -- Weight matrix relating the hidden-state to the output, numpy array of shape (n_y, n_a)
ba -- Bias, numpy array of shape (n_a, 1)
by -- Bias relating the hidden-state to the output, numpy array of shape (n_y, 1)
Returns:
a_next -- next hidden state, of shape (n_a, m)
yt_pred -- prediction at timestep "t", numpy array of shape (n_y, m)
cache -- tuple of values needed for the backward pass, contains (a_next, a_prev, xt, parameters)
"""

# Retrieve parameters from "parameters"
Wax = parameters["Wax"]
Waa = parameters["Waa"]
Wya = parameters["Wya"]
ba = parameters["ba"]
by = parameters["by"]

a_next = np.tanh(np.dot(Wax, xt) + np.dot(Waa, a_prev) + ba)
# compute output of the current cell using the formula given above
yt_pred = softmax(np.dot(Wya, a_next) + by)

# store values you need for backward propagation in cache
cache = (a_next, a_prev, xt, parameters)

return a_next, yt_pred, cache
1
2
3
4
5
6
7
8
9
10
11
12
13
14
15
16
17
18
19
20
21
22
23
24
25
26
27
28
29
30
31
32
33
34
35
36
37
38
39
40
41
42
43
44
45
46
47
48
49
50
51
52
# 多时间步
def rnn_forward(x, a0, parameters):
"""
Implement the forward propagation of the recurrent neural network described in Figure (3).

Arguments:
x -- Input data for every time-step, of shape (n_x, m, T_x).
a0 -- Initial hidden state, of shape (n_a, m)
parameters -- python dictionary containing:
Waa -- Weight matrix multiplying the hidden state, numpy array of shape (n_a, n_a)
Wax -- Weight matrix multiplying the input, numpy array of shape (n_a, n_x)
Wya -- Weight matrix relating the hidden-state to the output, numpy array of shape (n_y, n_a)
ba -- Bias numpy array of shape (n_a, 1)
by -- Bias relating the hidden-state to the output, numpy array of shape (n_y, 1)

Returns:
a -- Hidden states for every time-step, numpy array of shape (n_a, m, T_x)
y_pred -- Predictions for every time-step, numpy array of shape (n_y, m, T_x)
caches -- tuple of values needed for the backward pass, contains (list of caches, x)
"""

# Initialize "caches" which will contain the list of all caches
caches = []

# Retrieve dimensions from shapes of x and parameters["Wya"]
n_x, m, T_x = x.shape
n_y, n_a = parameters["Wya"].shape

### START CODE HERE ###

# initialize "a" and "y" with zeros (≈2 lines)
a = np.zeros((n_a, m, T_x))
y_pred = np.zeros((n_y, m, T_x))

# Initialize a_next (≈1 line)
a_next = a0

# loop over all time-steps
for t in range(T_x):
# Update next hidden state, compute the prediction, get the cache (≈1 line)
a_next, yt_pred, cache = rnn_cell_forward(x[:,:,t], a_next, parameters)
# Save the value of the new "next" hidden state in a (≈1 line)
a[:,:,t] = a_next
# Save the value of the prediction in y (≈1 line)
y_pred[:,:,t] = yt_pred
# Append "cache" to "caches" (≈1 line)
caches.append(cache)

# store values needed for backward propagation in cache
caches = (caches, x)

return a, y_pred, caches

1.2 反向传播:

为了计算反向传播过程,需要先定义一个损失函数。单个位置上(或者说单个时间步上)某个单词的预测值的损失函数采用交叉熵损失函数,如下所示:

反向传播

循环神经网络的反向传播被称为通过时间反向传播(Backpropagation through time),因为从右向左计算的过程就像是时间倒流。

更详细的计算公式如下:

rnn_cell_backprop

1.3 梯度消失

梯度消失

对于以上两个句子,后面的动词单复数形式由前面的名词的单复数形式决定。但是基本的 RNN 不擅长捕获这种长期依赖关系。究其原因,由于梯度消失,在反向传播时,很深的神经网络,从输出y^得到的梯度很难传播回去,很难影响靠前层的权重,后面层的输出误差很难影响到较靠前层的计算,网络很难调整靠前的计算。所以很难让它记住是单数还是复数。

在反向传播时,随着层数的增多,梯度不仅可能指数型下降,也有可能指数型上升,即梯度爆炸。不过梯度爆炸比较容易发现,因为参数会急剧膨胀到数值溢出(可能显示为 NaN)。这时可以采用梯度修剪(Gradient Clipping)来解决:观察梯度向量,如果它大于某个阈值,则缩放梯度向量以保证其不会太大。相比之下,梯度消失问题更难解决。GRU 和 LSTM 都可以作为缓解梯度消失问题的方案

2 GRU

GRU(Gated Recurrent Units, 门控循环单元)改善了 RNN 的隐藏层,使其可以更好地捕捉深层连接,并改善了梯度消失问题。

gru3

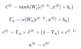
当我们从左到右读上面这个句子时,GRU 单元有一个新的变量称为 c,代表记忆细胞(Memory Cell),其作用是提供记忆的能力,记住例如前文主语是单数还是复数等信息。在时间 t,记忆细胞的值 c⟨t⟩等于输出的激活值 a⟨t⟩;c~⟨t⟩ 代表下一个 c 的候选值。Γu 代表更新门(Update Gate),用于决定什么时候更新记忆细胞的值。以上结构的具体公式为:

gru

当使用 sigmoid 作为激活函数 σ 来得到 Γu时,Γu的值在 0 到 1 的范围内,且大多数时间非常接近于 0 或 1。当 Γu=1时,c⟨t⟩被更新为 c~⟨t⟩,否则保持为 c⟨t−1⟩。因为 Γu可以很接近 0,因此 c⟨t⟩几乎就等于 c⟨t−1⟩。在经过很长的序列后,c的值依然被维持,从而实现“记忆”的功能。

因为sigmoid的值很容易取到0,或者非常接近0,这时c(t)=c(t-1) ,有利于维持细胞的值。Γu很接近0,但不是0 ,就不会有梯度消失的问题了。有效缓解了梯度消失的问题。

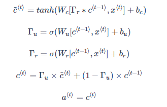
以上实际上是简化过的 GRU 单元,但是蕴涵了 GRU 最重要的思想。完整的 GRU 单元添加了一个新的相关门(Relevance Gate) Γr,表示 c~⟨t⟩和 c⟨t-1⟩的相关性。因此,表达式改为如下所示:

gru2

3 LSTM

LSTM(Long Short Term Memory,长短期记忆)网络比 GRU 更加灵活和强大,它额外引入了遗忘门(Forget Gate) ΓfΓf和输出门(Output Gate) ΓoΓo。其结构图和公式如下: